Cuestionarios ramificados de Crowder

Modelo clásico de instrucción programada con diagnóstico de errores

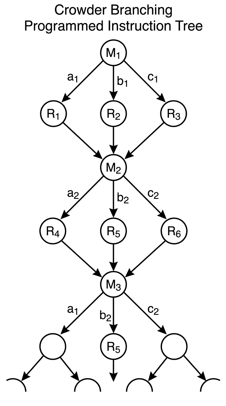
Los cuestionarios ramificados desarrollados por Norman A. Crowder forman parte de los sistemas de instrucción programada. A diferencia de los cuestionarios lineales tradicionales, este modelo organiza el aprendizaje como una estructura dirigida donde cada respuesta determina el siguiente paso dentro del material.

Cada nodo presenta un fragmento de contenido seguido de una pregunta con varias opciones. Cuando el estudiante responde correctamente, continúa por el flujo principal de la lección. Si elige una opción incorrecta, el sistema lo dirige hacia una rama remedial que explica el error antes de reincorporarlo al flujo principal.

Diagrama de cuestionario ramificado de Crowder
Figura: estructura típica de ramificación en un programa instruccional de Crowder.
Iniciar cuestionario